Θεσσαλονίκη: Σε αυξημένα επίπεδα διατηρείται το ιικό φορτίο στα λύματα

 
Θεσσαλονίκη: Σε αυξημένα επίπεδα διατηρείται το ιικό φορτίο στα λύματα

Πηγή Φωτογραφίας: EUROKINISSI / ΚΩΝΣΤΑΝΤΙΝΙΔΗΣ ΓΙΩΡΓΟΣ

Ενημερώθηκε: 11/02/21 - 12:06

Στα ίδια επίπεδα συγκέντρωσης παρέμεινε το ιικό φορτίο του SARS-CoV-2 στα λύματα της πόλης, με βάση τις δύο τελευταίες μετρήσεις, στην έρευνα που διεξάγει διεπιστημονική ομάδα του ΑΠΘ σε συνεργασία με την ΕΥΑΘ.

Μετά τον διπλασιασμό του ιικού φορτίου, που υπολογίστηκε στα δείγματα που ελήφθησαν από την εγκατάσταση επεξεργασίας λυμάτων Θεσσαλονίκης (ΕΕΛΘ) στις 5 και 7 Φεβρουαρίου, οι επόμενες αναλύσεις από δειγματοληψίες της 8ης και 9ης Φεβρουαρίου έδειξαν μία τάση σταθεροποίησης στα αυξημένα αυτά επίπεδα.

«Αυτό που κρατάμε ως θετικό στοιχείο είναι πως μέχρι στιγμής δεν παρατηρείται μία εκρηκτική αύξηση, αντίστοιχης δυναμικής της πορείας που καταγράφηκε το φθινόπωρο. Οι πιο πρόσφατες μετρήσεις της ομάδας μας θα έλεγα ότι απλά επιβεβαίωσαν ότι έχουμε ανέβει ένα επίπεδο συναγερμού. Παρακολουθούμε μέρα με τη μέρα πώς εξελίσσεται η κατάσταση, αλλά τη δεδομένη στιγμή δεν είμαστε σε μία εκθετική διασπορά του ιού στην κοινότητα», δήλωσε στο ΑΠΕ-ΜΠΕ ο πρύτανης του ΑΠΘ και επιστημονικά υπεύθυνος του ερευνητικού έργου, καθ. Νίκος Παπαϊωάννου.

Ερωτηθείς εάν η τάση σταθεροποίησης φαίνεται να έχει δυναμική να παγιωθεί, απάντησε: «Είμαστε σαφώς σε αυξητική πορεία. Διαχειρίσιμη μεν ακόμη, αλλά όταν διαπιστώνουμε διπλασιασμό του ιικού φορτίου μέσα σε μία εβδομάδα, δεν πρόκειται για μία διακύμανση ή μια αναστρέψιμη άνοδο, είναι μία ξεκάθαρη έντονα αυξητική τάση, που θα συνεχιστεί και που ευνοείται από τα μεταλλαγμένα στελέχη του ιού, τα οποία όλο και περισσότερο μεταδίδονται στην κοινότητα, όσο και από τις καιρικές συνθήκες και αντικοινωνικές συμπεριφορές».

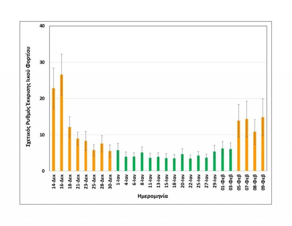
Στο διάγραμμα που παρουσιάζει το ΑΠΕ-ΜΠΕ φαίνεται, σε σχέση με τα τέλη του περασμένου Οκτώβρη και την πορεία της πανδημίας στην πόλη τον Νοέμβρη, ότι το ιικό φορτίο στα λύματα απέχει ακόμη από το κόκκινο επίπεδο, ενώ και η καμπύλη της ανόδου είναι πιο ομαλή. Αντίστοιχα φαίνεται πως στις μετρήσεις από τις 23 έως τις 28 Οκτωβρίου καταγραφόταν μία σαφής ανοδική τάση, που στη συνέχεια όμως έγινε εκρηκτική.

diagramma

«Πιστεύω ότι κανείς μας δεν θέλει να βιώσει ξανά τον εφιαλτικό Νοέμβρη. Είμαστε εδώ και μήνες σε καθεστώς μέτρων πρόληψης της διασποράς. Όσο τα τηρούμε μένουμε ασφαλείς», πρόσθεσε ο πρύτανης του ΑΠΘ.

diagramma

Στα διαγράμματα, οι ημέρες των δειγματοληψιών που καταγράφονται με κόκκινο χρώμα αντιστοιχούν σε περισσότερα από 500 κρούσματα - όπως ανακοινώθηκαν τις αντίστοιχες ημέρες από τον ΕΟΔΥ - οι μέρες που καταγράφονται με πορτοκαλί σε 100-400 κρούσματα και οι μέρες που καταγράφονται με πράσινο σε λιγότερα από εκατό κρούσματα.

diagramma

Η μεθοδολογία αποτίμησης του κορονοϊού στα αστικά απόβλητα, που ανέπτυξε η ομάδα του ΑΠΘ, εξορθολογίζει τις μετρήσεις συγκέντρωσης του γονιδιώματος του ιού με βάση 24 περιβαλλοντικούς παράγοντες, που δύνανται να αλλοιώσουν τα αποτελέσματα των μετρήσεων.