Το Ford Fiesta με ακόμα πιο πλούσιο εξοπλισμό και με ήπια υβριδική τεχνολογία 48V, σε συνδυασμό με τον κινητήρα 1.0L EcoBoost 155PS

 
Το Ford Fiesta με ακόμα πιο πλούσιο εξοπλισμό και με ήπια υβριδική τεχνολογία 48V, σε συνδυασμό με τον κινητήρα 1.0L EcoBoost 155PS

Ενημερώθηκε: 15/08/20 - 00:24

Για πρώτη φορά το νέο Ford Fiesta είναι διαθέσιμο με ήπια υβριδική τεχνολογία 48V, σε συνδυασμό με τον κινητήρα 1.0L EcoBoost 155PS.

To μοντέλο της Ford με τις περισσότερες πωλήσεις στην Ευρώπη, ανανεώνεται ενισχύοντας ακόμα περισσότερο την παρουσία του στην κατηγορία Β διαθέτοντας για πρώτη φορά το προηγμένο, ήπια υβριδικό σύστημα κίνησης των 48V της Ford, το οποίο παρουσιάστηκε στις αρχές του τρέχοντος έτους στο νέο Puma. Αυτό το ευφυές, αυτορυθμιζόμενο ήπιο υβριδικό σύστημα προσφέρει στο νέο Fiesta βελτιωμένη απόδοση, σε συνδυασμό με μία πιο απολαυστική οδηγική εμπειρία, ακόμα καλύτερες επιδόσεις, ταχύτερη απόκριση στο πάτημα του γκαζιού και βελτιωμένες επιταχύνσεις εν κινήσει. Χρησιμοποιεί ως βάση την τελευταία γενιά του πολυβραβευμένου 1.0L EcoBoost μηχανικού συνόλου της Ford που περιλαμβάνει τεχνολογία απενεργοποίησης κυλίνδρου που εφαρμόζεται για πρώτη φορά σε τρικύλινδρο κινητήρα, βελτιώνοντας ακόμη περισσότερο την οικονομία καυσίμου, με εκπομπές CO2 92 g/km και κατανάλωσή 4,0 l/100 km στον μικτό κύκλο NEDC (από 116 g/km και 5,1 l/100 km στον WLTP).

02

Ένα νέο 7τάχυτο αυτόματο κιβώτιο που διατίθεται προαιρετικά σε συνδυασμό με τον κινητήρα 1.0L EcoBoost των 125 ίππων προσφέρει εκπομπές CO2 104 g/km με την κατανάλωσή του να φτάνει στα 4,6 l/100 km στον μικτό κύκλο NEDC (από 127 g/km και 5,6 l/100 km στον WLTP). Ο μεγαλύτερος αριθμός σχέσεων μετάδοσης του προηγμένου κιβωτίου και η λειτουργία διπλού συμπλέκτη για ομαλές αλλαγές συμβάλλουν στη βελτιστοποίηση της κατανάλωσης, στην αθόρυβη λειτουργία και στις κορυφαίες επιδόσεις.

Παράλληλα με το υβριδικό σύστημα κίνησης και την έκδοση με το προηγμένο αυτόματο κιβώτιο διπλού συμπλέκτη της Ford, το νέο Fiesta διατίθεται στην Ελλάδα σε νέες, ακόμη πιο πλούσια εξοπλισμένες εκδόσεις, που περιλαμβάνουν προηγμένες τεχνολογίες αυτόνομης οδήγησης επιπέδου 2, καθώς και συστήματα, όπως τα Adaptive Cruise Control με σύστημα Stop & Go, Speed Sign Recognition και Pre-Collision Assist. Συνολικά, το νέο Fiesta διαθέτει 15 τεχνολογίες ασφάλειας και υποβοήθησης της οδήγησης που κάνουν την οδηγική εμπειρία πιο άνετη, λιγότερο απαιτητική και ασφαλέστερη.

03

Η τεχνολογία FordPass Connect με το ενσωματωμένο modem που διαθέτoυν οι νέες εκδόσεις Fiesta τους επιτρέπει να βρίσκονται μόνιμα συνδεδεμένες στο internet. Με τον τρόπο αυτό, ο οδηγός μέσα από μέσα από την εφαρμογή FordPass μπορεί να κλειδώνει και να ξεκλειδώνει το αυτοκίνητο από μακριά, να ελέγχει την στάθμη καυσίμου και τη φόρτιση της μπαταρίας, ή να λαμβάνει πληροφορίες για την κατάσταση του αυτοκινήτου, της για παράδειγμα για την πίεση των ελαστικών.

ΑΚΟΛΟΥΘΗΣΤΕ ΜΑΣ ΣΤΟ GOOGLE NEWS ΚΑΝΟΝΤΑΣ ΚΛΙΚ ΕΔΩ

Στο νέο Fiesta, η Ford προσφέρει το δημοφιλές μοντέλο της με την εργοστασιακή 8ετή εγγύηση Ford Protect, εξασφαλίζοντας σε όλους τους πελάτες της ξέγνοιαστα και χωρίς προβλήματα χιλιόμετρα.

Το νέο Ford Fiesta μπορεί να αποκτηθεί γρήγορα και εύκολα με τους πλέον ευνοϊκούς όρους της αγοράς, μέσω του ευέλικτου χρηματοδοτικού προγράμματος MyFiesta της Ford Finance, το προσαρμόζεται εύκολα στις ανάγκες σας και προσφέρει τους πλέον προνομιακούς όρους με προκαταβολή από 0%, επιτόκιο από 1% και διάρκεια αποπληρωμής έως 84 μήνες.

Fiesta

Παράδειγμα χρηματοδότησης Fiesta:

Έκδοση Trend 1.1L 75PS

Τιμή αγοράς: € 14.604

Επιτόκιο: 2,9% (πλέον εισφοράς 0,6% του Ν. 128/1975)

Προκαταβολή: € 5.842 (40%)

Ποσό δανείου: € 8.762

Μηνιαία δόση: € 221,96

Σύνολο δόσεων: 42

Έξοδα: € 280

ΣΕΠΠΕ: 5,5%

Ποσό δανείου: € 8.762

Μηνιαία δόση: € 221,96

Σύνολο δόσεων: 42

Έξοδα: € 280

ΣΕΠΠΕ: 5,5%

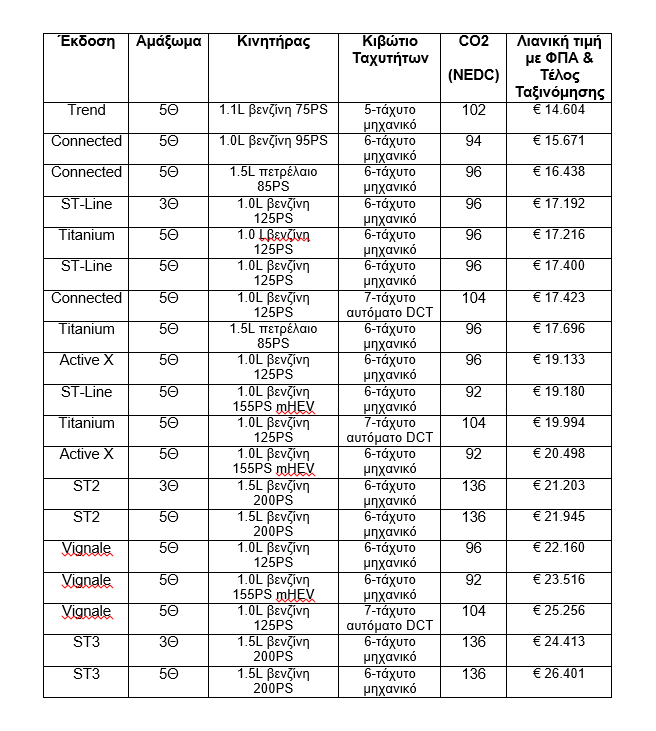
Συνοπτικός τιμοκατάλογος των νέων εκδόσεων Ford Fiesta:

F2
04

ΑΚΟΛΟΥΘΗΣΤΕ ΜΑΣ ΣΤΟ GOOGLE NEWS ΚΑΝΟΝΤΑΣ ΚΛΙΚ ΕΔΩ